第七屆全國藍藻水華論壇將于2021年5月28-31日在貴陽舉辦,本次論壇研討會的主題為:“水生態大數據與藍藻水華”,共設大數據時代下的智慧水生態、藍藻生物學研究前沿與熱點、全球氣候變化下的藍藻水華監測與預警、基于下一代基因測序技術的水生態大數據建設、區域性藍藻水華發生特征與機理、藍藻水華的治理及其無害化處置6個專題。
北京易科泰生態技術有限公司應邀參加本次會議,提供藻類培養與在線監測、藻類光合與生理生態監測、AlgaTech?藻類光譜成像分析和EcoDrone無人機遙感等國際先進儀器技術方案。誠邀各位專家、學者參會并到易科泰展臺參觀交流。
本次大會我們將展出以下技術方案:
藻類培養與在線監測技術方案


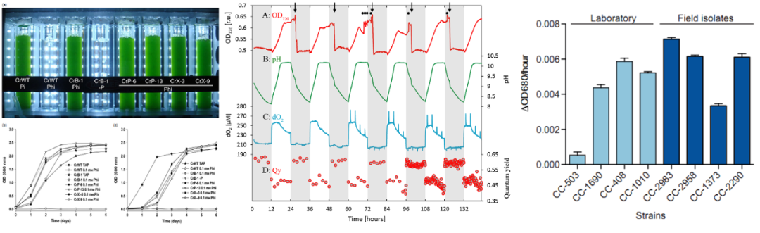
藻類光合與生理測量技術方案


藻類光合與生理測量技術方案


EcoDrone無人機遙感技術方案

詳情可咨詢:
易科泰市場部
電話:010-82611269 13810418199
郵箱:info@eco-tech.com.cn
全部評論